Haomin (Harmin) Qi (Chee)

I am a master student at UC San Diego, advised by Prof. Jingbo Shang. I am now also working with Chengpeng Wang. Previously, I received my Bachelor's degree from The Chinese University of Hong Kong, where I was advised by Prof. Soung Chang Liew and Prof. Rosanna Yuen-Yan Chan. Prior to that, I worked with Prof. Min-Te (Peter) Sun at National Central University and Prof. Jun Wei Hsieh at National Yang Ming Chiao Tung University, Taiwan.

My research interests lie at the intersection of Machine Learning and Software Engineering. I focus on improving the code generation capabilities of large language models (LLMs) and agentic AI; applying LLMs for program verification, repair, and quality evaluation; LLMs security and auditable code intelligent agents; and efficient reasoning and training for LLMs. My goal is to develop intelligent code systems to handle complex and real-world problems.

📣News

  • Feb 2026: Our papers TopoEdge and VeriRAG were accepted for IEEE WCNC 2026 and ISQED 2026! 🎉
  • Oct. 2025: Two papers accepted by IEEE BigData 2025 and IEEE CCNC, respectively.
  • Sep. 2025: Starting graduate studies @ECE UCSD Fall 25.
  • Jul. 2025: Graduating from CUHK and receiving the Best Paper Award for my dissertation.

🎓Education

M.S. in Electrical and Computer Engineering
University of California San Diego
2025–Present
B.S. in Mathematics and Information Engineering
The Chinese University of Hong Kong
2021–2025
Semester Exchange in Computer Science
University of Leeds
2023–2024

🎯Selected Publications

TopoEdge teaser TopoEdge: Topology-Grounded Agentic Framework for Edge Networking Code Generation and Repair
Haomin Qi, Bohan Liu, Zihan Dai, Yunkai Gao, Soung Chang Liew
IEEE Wireless Communications and Networking Conference (WCNC) 2026
VeriRAG teaser VeriRAG: A Retrieval-Augmented Framework for Automated RTL Testability Repair
Haomin Qi*, Yuyang Du*, Lihao Zhang, Soung Chang Liew, Kexin Chen, Yining Du
International Symposium on Quality Electronic Design (ISQED) 2026
GraphCue teaser GraphCue for SDN Configuration Code Synthesis
Haomin Qi, Fengfei Yu, Chengbo Huang
IEEE Consumer Communications & Networking Conference (CCNC) 2026
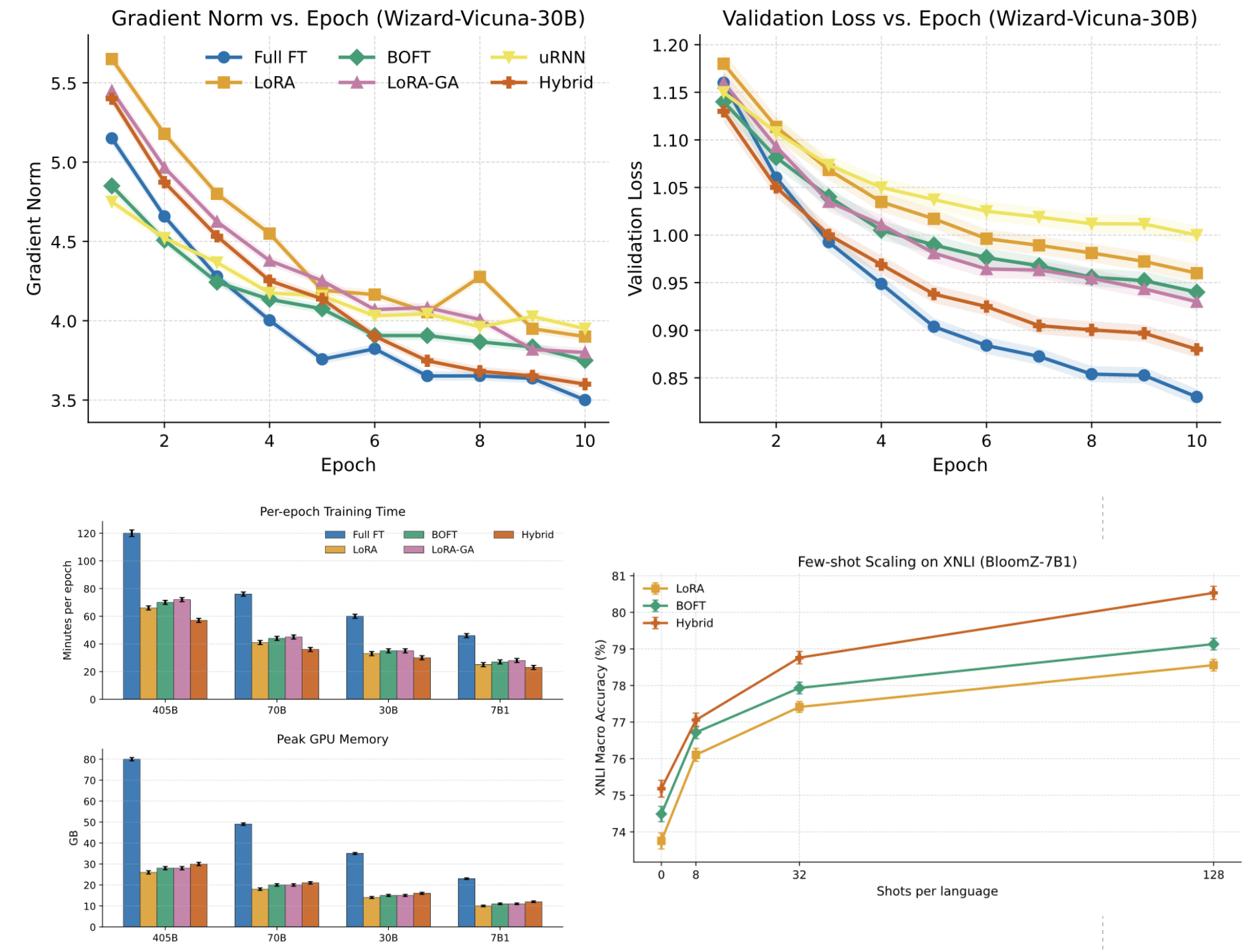
Governance-Aware teaser Governance-Aware Hybrid Fine-Tuning for Multilingual Large Language Models
Haomin Qi, Chengbo Huang, Zihan Dai, Yunkai Gao, Min-Te Sun
IEEE International Conference on Big Data Workshop @ LLMs4All 2025
Hybrid and Unitary PEFT teaser Hybrid and Unitary PEFT for Resource-Efficient Large Language Models
Haomin Qi, Zihan Dai, Chengbo Huang
American Journal of Computer Science and Technology
ABA Therapy teaser Transforming ABA Therapy: An IoT-Guided, Retrieval-Augmented LLM Framework
Haomin Qi, Chung-Ho Sin, Rosanna Yuen-Yan Chan, Victor Chun-Man Wong
IEEE Access

🏆Awards & Honors

  • "ArtTouch" Champion Award, CUHK Smart Campus Solutions Competition, 2024–25
  • CUHK MIE Outstanding Graduation Thesis Award, 2025
  • CUHK IE Department Academic Excellence Scholarship, 2024
  • HK Tech300 Entrepreneurship Award, Intell-Pro Global, 2023
  • University Systems of Taiwan (UST) Summer Exchange Scholarship, 2023
  • CUHK Shaw College General Education Scholarship, 2023
  • CUHK Semester Exchange Scholarship, University of Leeds, 2023

🌟Misc

I am passionate about fitness, skiing, and backpacking, as well as landscape photography, painting, and cooking. In my spare time, I share my life and daily moments on Instagram—feel free to follow: instagram.com/harminchee.


Template is from Jon Barron's website.

Last Updated: Feb 2026.